
Предложите свой вариант графического отображения образования химической связи в соединении, имеющем формулу .

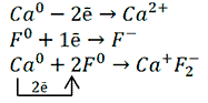
Атом кальция, как элемент IIA−группы периодической системы Д. И. Менделеева, для превращения завершённого предвнешнего энергетического уровня во внешний отдаст два электрона с внешнего уровня.
Атому фтора, как элементу VIIA−группы, не хватает одного электрона для завершения внешнего слоя. При этом атом кальция превратится в положительно заряженный ион с зарядом 2+, а атом фтора − в отрицательно заряженный ион с зарядом 1–.
